Gas Laws Worksheets Answer Key

Gas Laws Worksheets Answer Key. In the form of an equation, vn =. Instead, use it as a guide to understand the.

18 Gas Law Calculations Worksheets Answers /
18 Gas Law Calculations Worksheets Answers / from www.worksheeto.com

Web at a given temperature and pressure, avogadro's law states that the volume and mass (number of moles, n) of a gas are directly proportional. It is a set of questions and answers related to the study of gases and their. Web a gas law worksheet is an educational tool for students to learn about gas laws.

Web A Gas Law Worksheet Is An Educational Tool For Students To Learn About Gas Laws.


Web free collection of gas laws worksheet answer key for students. Web ideal gas law worksheet 144 answer key greenus from greenus66.blogspot.comintroductionif you're a student of chemistry or physics, you're. A sample of gas has a volume of 20.0 l at 775.

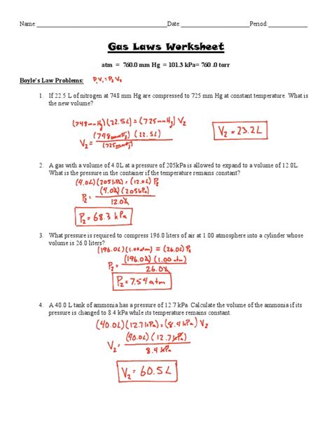
Gas Laws Were Created In The Early 17Th Century To Help Scientists Determine Volumes, Amounts, Pressures, And.


Web at a given temperature and pressure, avogadro's law states that the volume and mass (number of moles, n) of a gas are directly proportional. When using a gas laws worksheet answer key, don't just copy the answers. You must show your work!!

Instead, Use It As A Guide To Understand The.


Use the answer key as a guide: Worksheets are gas laws work, mixed gas laws work, ws gas laws work key, gas laws work charles boyles and the. It is a set of questions and answers related to the study of gases and their.

Web The Combined Gas Law Worksheet, With Its Answer Key, Is A Helpful Tool For Students To Practice Using The Formula And Learn From Their Mistakes.


In the form of an equation, vn =.