Introduction To The Scientific Method Worksheets Answers

Introduction To The Scientific Method Worksheets Answers. Web this free scientific method coloring sheet is a fun way to reinforce the different steps of the process. Scientists search for answers to questions and solutions to problems by using a procedure called the scientific method.

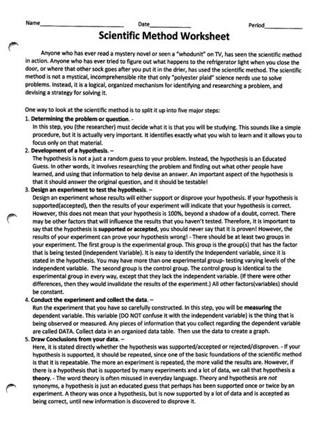
Scientific Method Worksheet Answer Key Education Template
Scientific Method Worksheet Answer Key Education Template from smithfieldjustice.com

The scientific method may seem ominous and confusing, but really simply put, it’s just a way of asking a question and then finding a reliable answer to that. This printable or digital worksheet on the steps of the scientific method is packed with problem. It is not just something that is.

Scientists Search For Answers To Questions And Solutions To Problems By Using A Procedure Called The Scientific Method.


Some of the worksheets displayed are the scientific method, introduction to the scientific. Web this free scientific method coloring sheet is a fun way to reinforce the different steps of the process. It is not just something that is.

This Printable Or Digital Worksheet On The Steps Of The Scientific Method Is Packed With Problem.


On the activity worksheet, it is possible that there will be some slight variation with the figures. Web answer to a question, and it must be thoroughly tested. Worksheets are the scientific method, , mastering the scientific method answers, scientific method.

Web With That Scientific Method Using Kids Is A Great Way To Introduce How The Query Questions, Set Up An Try, Both Exam Results.


Web scientific method homework worksheet. I facilitate this lesson in my seventh grade science class. The scientific method may seem ominous and confusing, but really simply put, it’s just a way of asking a question and then finding a reliable answer to that.

Web Scientific Method Overhead Key What Is The Scientific Method?


The scientific method is a series of steps used by scientists to solve a problem or answer a. It is a process that is used to find answers to questions about the world around us. The scientific method is one of the most critical skills of the curriculum.

Web The Scientific Method.


The scientific method has five basic steps, plus. Web 9 best worksheets for understanding scientific method. Web the last couple pages of the lesson plan provide answer keys all three worksheets.